Обяви За нас Контакти
Продава 2-СТАЕН
област Ловеч, гр. Луковит
36 400 €
71 192.21 лв.

(650 €, 1 271.29 лв./m2)
Цената е с включено ДДС
История на цената
Публикувана в 15:38 на 31 март, 2026 год.
Обявата е посетена 46 пъти.
Площ:
56 m2
Етаж:
4-ти от 5
Газ:
НЕ
ТEЦ:
Лок.отопл.
Строителство:
Тухла, Въведен в експлоатация

Описание на имота:


ПРОМОЦИОНАЛНА ЦЕНА 650 евро / кв.м., валидна до 30 април 2026г.

Апартаменти в центъра на гр.Луковит с различна площ в сграда тухлено строителство с издаден Акт 16 на промоционална цена от 600 до 850 за кв.м. чиста площ.

През 2023-2024 г. са извършени редица подобрения:
- нова термофасада
- нова немска дограма висок клас с шумоизолация и четирисезонен стъклопакет
- стилни италиански входни врати
- изцяло подменени ел. и ВиК инсталации

Апартаменти се предлагат на степен шпакловка и замазка, което дава възможност на бъдещите собственици да реализират интериора изцяло по свой вкус и предпочитания.

Само на 2 минути пеша от Община Луковит.

В непосредствена близост до училища, модерни спортни съоружения, супермаркети, аптеки и медицински центрове, централен площад, градска градина и река.

В сградата са 1-стайни, 2-стайни и 3-стайни апартаменти. Посочените цени са за чиста застроена жилищна площ, без включени и без да се заплащат общи/идеални части на сградата.
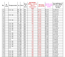
Точните размери и цени на апартаментите са посочени в таблицата в една от снимките към обявата.

За повече информация и огледи не се колебайте, обадете се на тел. и 088 637 57 96
Особености
Тухла
С паркинг
За контакт:
0886375796
Агенция:
ТОП ИМОТИ - ВТ
0886375796
ТОП ИМОТИ - ВТ logo
В imot.bg от 2025 г.
topimoti-vt.imot.bg
Адрес:
област София, гр. София, ж.к.Младост-1
ИЗПРАТИ ЗАПИТВАНЕ
ИЗПРАТИ ЗАПИТВАНЕТО

Продава 2-СТАЕН
област Ловеч, гр. Луковит
Обява: 1b177496070061130

36 400 €
71 192.21 лв.
История на цената
(650 €, 1 271.29 лв./m2)

Цената е с включено ДДС
ЗАПАЗИ ОБЯВАТА

Местоположение: област Ловеч, гр. Луковит